Содержание
- Трихомы каннабиса: как производятся каннабиноиды, терпены и флавоноиды
- Как создаются соединения в трихоме
Трихомы каннабиса: как производятся каннабиноиды, терпены и флавоноиды
Трихомы — это волоски на поверхности растений, которые отвечают за выработку защитных, терапевтических, психоактивных и опьяняющих свойств растения каннабис. Некоторые трихомы содержат смоляные железы, которые создают терпены, флавоноиды, THCA, CBDA и другие фитоканнабиноиды, которыми известна марихуана.
Кристаллический блеск и ощущение липкости шишек каннабиса вызваны большим скоплением трихом. Хотя они наиболее заметны невооруженным глазом на соцветиях, трихомы также можно найти на листьях и стеблях растения, хотя не все трихомы будут железистыми. Нежелезистые трихомы не производят те же психоактивные соединения, что и железистые, но помогают поддерживать поверхностный баланс растения и, как считается, добавляют слой защиты от вредителей и неблагоприятных условий окружающей среды.
Железистый тип трихом производит каннабиноиды, терпены и флавоноиды. Железистые трихомы бывают трех основных типов: луковичные, головчатые — сидячие и головчато-стебельчатые. Негландулярные трихомы называются цистолитами.
Железистый тип трихом производит каннабиноиды, терпены и флавоноиды.
Луковичные трихомы — это крошечные луковицы, которые усеивают поверхность растения. Их невозможно увидеть без микроскопа. Хотя производство ими каннабиноидов все еще находится под вопросом, они придают растениям каннабис хрустальный блеск и добавляют липкости цветку. Луковичные трихомы не ограничиваются определенными участками конопли; они равномерно распределяются по всей поверхности растения.
Головчатые сидячие трихомы более многочисленны, чем луковичные, но, как правило, видны только с помощью микроскопа. Подобно луковичным трихомам, сидячие головчатые трихомы имеют большие луковицы, но имеют более классическую грибовидную структуру. Этот тип трихом в основном встречается на нижней стороне сахарных листьев и на веерных листьях.
Трихомы с головчатым стеблем имеют форму грибов и содержат большую луковицу в головке стебля. Это самые большие и самые распространенные трихомы в каннабисе, и они лучше всего знакомы потребителям, поскольку их легко увидеть невооруженным глазом. Трихомы с головчатым стеблем в основном встречаются на поверхности цветов и редко встречаются на сахарных листьях, веерных листьях или стеблях.
Трихомы с головчатым стеблем имеют форму грибов и содержат большую луковицу в головке стебля.
Как создаются соединения в трихоме
Каннабиноиды, терпены и флавоноиды продуцируются в трихомных клетках посредством биосинтеза, в котором ферменты катализируют серию химических реакций с образованием сложных молекул из простых (меньших) молекул. Краткий обзор: каннабиноиды, вырабатываемые растением каннабис, или фитоканнабиноиды, взаимодействуют с рецепторами нашего организма, вызывая многочисленные психотропные и терапевтические эффекты. Терпены — это соединения, отвечающие за аромат и вкус каннабиса, и которые поддерживают каннабиноиды в достижении желаемых эффектов. Флавоноиды похожи на терпены в том, что они вносят свой вклад в аромат и вкус растений, но могут обладать и собственными уникальными терапевтическими эффектами.
Три основных этапа биосинтеза каннабиноидов — это связывание, пренилирование и циклизация. На молекулярном уровне активность выглядит следующим образом: наноразмерные макромолекулы, называемые ферментами, связываются с одной или двумя небольшими молекулами (субстратами), прикрепляют субстраты друг к другу (пренилирование, каталитическое химическое превращение субстратов), затем передают небольшую молекулу (трансформированный субстрат) вплоть до другого фермента, который его обрабатывает, внося последовательные изменения в небольшую молекулу (циклизация). Думайте о ферментах как о биологических наномашинах, которые для построения структур используют химическую энергию, а не механическую. Ферменты вдохновили людей на многочисленные исследования в области нанотехнологий, биологии и других областях.
На следующих рисунках показаны некоторые молекулярные структуры, участвующие в биосинтезе каннабиноидов. На этих рисунках каждая линия представляет собой связь между атомами. Когда две линии встречаются в одной точке и не написано ни одной буквы, атом по умолчанию является углеродом. Явно указаны атомы кислорода и фосфора. Атомы водорода втягиваются только тогда, когда они связаны с кислородом на ароматическом кольце; они не нарисованы на алкильных цепях. Изогнутые стрелки, указывающие от одного атома к другому, указывают на то, что во время реакции между этими атомами образуется новая связь, они также указывают на движение или обмен электронами, образующими связь. Показаны не все этапы, поэтому есть некоторые разрывные связи и образующиеся побочные продукты, которые не отображаются.
Предшественники всех природных каннабиноидов, геранилпирофосфат и оливетоловая кислота, сами производятся в результате сложной серии биосинтетических реакций. Геранилпирофосфат и оливетоловая кислота связываются друг с другом с помощью фермента из категории пренилтрансфераз, известного как GOT, создавая таким образом первый каннабиноид, CBGA (см. Рисунок 1). CBGA, или каннабигероловая кислота, содержит группу карбоновой кислоты (с молекулярной формулой COOH), и из-за присутствия этой кислотной группы в конце CBGA стоит буква «A». Это верно и для остальных каннабиноидов, аббревиатуры которых заканчиваются на букву A (THCA, CBDA и т. д.). Группы карбоновых кислот спонтанно разрывают структуры каннабиноидов в виде газообразного диоксида углерода (CO2) при нагревании. Этот процесс называется декарбоксилированием, после которого обозначение «А» теряется. Например, декарбоксилированный CBGA становится CBG. Это считается процессом разложения, потому что он не требует ферментов и происходит после сбора урожая. Каннабиноиды типа CBG имеют одно кольцо в молекулярной структуре; это ароматическое кольцо, полученное из оливетоловой кислоты (см. рисунок 1).
Рисунок 1: Биосинтез CBGA и декарбоксилирование до CBG. Примечание: все стадии реакции не показаны, и реакции не сбалансированы.
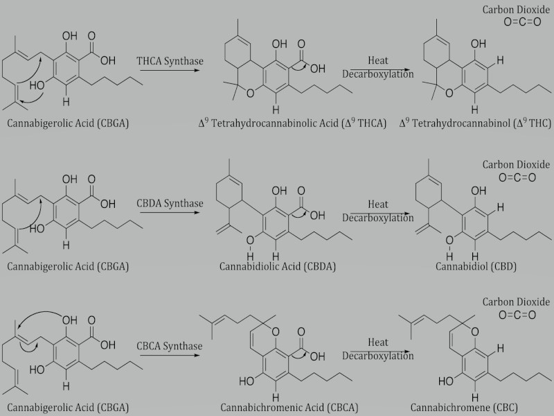
Итак, CBGA — первый каннабиноид, образованный в результате биосинтетической реакции, которая объединила две более мелкие части вместе — он также является предшественником всех других природных фитоканнабиноидов. Затем CBGA циклизуется в THCA , CBDA или CBCA с помощью ферментов, известных как THCA-синтаза, CBDA-синтаза и CBCA-синтаза. Наличие и относительные количества конкретных ферментов определяют, какой каннабиноид является основным продуктом каждого конкретного штамма и каждой конкретной клетки. Помните, что каннабиноиды типа CBG имеют в своей структуре только одно кольцо. После реакций циклизации каннабиноиды THCA, CBDA и CBCA имеют больше колец в своей структуре (см. Рисунок 2).
Для THCA два новых кольца образуются путем создания двух новых ковалентных связей, связи углерод-кислород (CO) и связи углерод-углерод (CC). Фермент CBDA-синтаза катализирует реакцию, которая создает одну новую связь CC в том же положении, что и связь CC, образованная в THCA, но без новой связи CO, образуя таким образом CBDA. Образование CBCA происходит путем образования одной связи (CO) в положении молекулы, отличном от связи (CO), образованной в THCA. Соединения, в которых два кольца слиты друг с другом, такие как CBCA и CBC, называются бициклическими. Вот как THCA, CBDA и CBCA производятся посредством биосинтеза.
Рисунок 2: Циклизация CBGA в три каннабиноида THCA, CBDA и CBCA с последующим декарбоксилированием с образованием THC, CBD и CBC.
Когда цветок каннабиса высушен и пролечен должным образом, наиболее заметными каннабиноидами будут кислотные формы каннабиноидов (THCA, CBDA, CBCA или CBGA). При копчении или запекании в пищу эти молекулы декарбоксилируются. Хотя декарбоксилированные формы каннабиноидов могут в небольшой степени продуцироваться биосинтетически во время сушки, кислотные формы являются основным продуктом. Продуктами декарбоксилирования являются дельта- 9-ТГК, каннабидиол (CBD) и каннабихромен (CBC) (см. Рисунок 2).
Как видите, эффекты каннабиса являются результатом комплексного развития каннабиноидов, флавоноидов и терпенов, происходящих в железистых трихомах растения.











